皆さん
こんにちは、GMOアドマーケティングのS.Rです。
近年IT業界ではディープラーニングを使って色々な大きな成果を出してきました。皆さんはディープラーニングの概念が分かりますか。今回はディープラーニングの基本知識を皆さんへ説明いたします。
1. AI/機械学習/ディープラーニングの関係:
人工知能(AI)は、人間の知的ふるまいを人工的に再現したものだ。AIの定義は実装する部分だけてはなく知能の本質、AIと人間の関係など哲学、心理学の問題も含まれています。
機械学習はAIを実現するために使う技術です。ディープラーニングは様々な機械学習の手法の中で動物のニューラルシステムを真似る手法です。

2. 機械学習と計算機の進化
ディープラーニングは、新しいのものではなく約70年前ニューラルネットワークは提案されていた。1989年に George Cybenko先生は計算力と学習データ量を無限にしたらニューラルネットワークによって任意の関数を理論的に学習できることを証明した。でも当時はコンピューターと学習データ量が足りなかった。そのうえにVMとRFという非ニューラルネットワークの機械学習の方法で、小さいデータでニューラルネットワークよりもっと良い結果を得られたので、約10年間ニューラルネットワーク系の機械学習の方法は大きな発展はなかった。2006年からインターネットの時代が始まるとともに大規模なデータの処理技術が大きく進化した。ついに2006年にHinton先生が多層のニューラルネットワーク画期的な論文(A fast learning algorithm for deep belief nets)を発表したのを皮切りとしてニューラルネットワークの飛躍期が始まった。

3. ディープラーニングの歴史
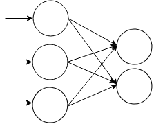
ニューラルネットワークはシナプスの結合によりネットワークを形成した人工ニューロン(ノード)が、学習によってシナプスの結合強度を変化させ、問題解決能力を持つようなモデル全般を指します。狭義には誤差逆伝播法を用いた多層パーセプトロンを指す場合もあるが、これは誤った用法です。一般的なニューラルネットワークでの人工ニューロンは生体のニューロンの動作を極めて簡易化したものを利用します。
画像や統計など多次元量のデータで線形分離不可能な問題に対して、比較的小さい計算量で良好な解を得られることが多いです。 現在では、画像認識、市場における顧客データに基づく購入物の類推などとして応用されています(パターン認識、データマイニング)。
ディープラーニングまたは深層学習(しんそうがくしゅう、英: deep learning)とは、(狭義には4層以上)多層のニューラルネットワークによる機械学習手法です。(ディープラーニング、2019年5月20日、ウィキペディア日本語版、https://ja.wikipedia.org/wiki/%E3%83%87%E3%82%A3%E3%83%BC%E3%83%97%E3%83%A9%E3%83%BC%E3%83%8B%E3%83%B3%E3%82%B0)

4. ディープラーニングと他の手法の比較
ディープラーニングと他の手法の比較しましょう。

他のモデルと比べて計算力と学習データが足りればディープラーニングのモデルはもっと良い精度を取れます。

5. 機械学習の手法を選択するときの流れ

6. まとめ
今回はディープラーニングの要約を紹介しました。いかがだったでしょうか。ディープラーニングで銀行産業、金融産業、IT産業でたくさんのチャンスがうまれるでしょう。
今回のブログが皆さんのディープラーニングの理解のお役に立てれば幸いです。

